Soal Dan Pembahasan Dimensi Fisika. Berikut ini adalah soal dan pembahasan mengenai dimensi besaran dalam fisika. Artikel ini menyajikan kumpulan soal dan pembahasan sebagai latihan menjelang ujian nasional pelajaran fisika untuk sma 2019.
Pembahasan Soal Utbk 2019 Solusi Fisika from 1.bp.blogspot.com Besaran, satuan dan diminesi fisika dasar beserta contoh soal dan pembahasan. Pada gerak peluru, kecepatan pada sumbu x (horisontal) selalu tetap. Pada postingan kali ini admin ingin berbagi ilmu mengenai besaran, satuan dan dimensi.
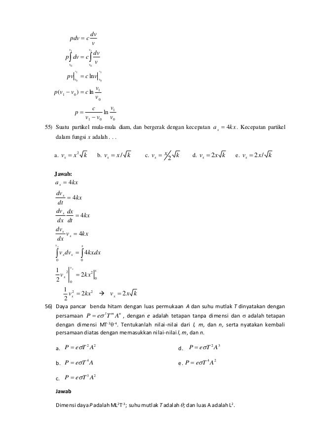
Jika besaran fisika berdimensi sama maupun berbeda dikalikan, dibagi.
Besaran, satuan dan diminesi fisika dasar beserta contoh soal dan pembahasan. Contoh soal 1 di bawah ini yang merupakan besaran turunan adalah …. Pada saat melakukan praktikum pengukuran dengan menggunakan jangka sorong, seorang siswa mengukur dimensi balok tinggi, panjang, dan lebar dengan hasil pengukuran sebagai berikut Berikut ini contoh soal dan pembahasan tentang materi dimensi besaran dalam fisika.
Contoh Soal Fisika Kelas 10 Uts . Tulis namamu di sudut kanan atas 2. Sebuah benda yang massanya 2 kg bergerak ke kanan dengan kecepatan 10 m/s menuju benda lain bermassa 2 kg yang bergerak ke kiri dengan kecepatan 20 m/s. 50 Contoh Soal Uts Fisika Kelas 10 Sma Ma Semester Ganjil Anonytun Com from www.anonytun.com Hakikat fisika bab 1 kelas 10. Latihan soal uts pkn smp kelas 9. Khusus dalam artikel ini, kami mengajak anda untuk belajar tentang ilmu soal yang tersaji dalam artikel ini akan mengajak anda mengenali pelajaran fisika kelas 10 sma ma dan mengasah kemampuan anda dalam bidang tersebut. Khusus dalam artikel ini, kami mengajak anda untuk belajar tentang ilmu soal yang tersaji dalam artikel ini akan mengajak anda mengenali pelajaran fisika kelas 10 sma ma dan mengasah kemampuan anda dalam bidang tersebut. Latihan persiapan uts kimia kelas 10 sma k2013. Jika kb air = 0,52, maka m...
Soal Fisika Bidang Miring Kelas 10 . Pembahasan soal hukum newton fisika sma kelas 10 semester 2 tentang gerak yang mengulas mengenai soal hukum newton pada dua bidang miring yang licin untuk. Jadi, gaya dorong yang diperlukan untuk menaikkan benda adalah 150 n. Ilmu Pengetahuan 2 Contoh Soal Fisika Bidang Miring Kelas 10 from id-static.z-dn.net Contoh soal dan pembahasan elastisitas kelas 11. Jika sebuah benda terletak pada bidang miring maka gaya normal pada benda itu …. Seorang anak berjalan lurus 10 meter ke barat, kemudian belok keselatan sejauh 12 meter, dan belok lagi ke timur sejauh 15 meter. Ada sebuah tong dengan berat 6000 n akan dipindahkan meme ke atas truk rumushitung express melalui sebuah papan yang dimiringkan setinggi 2 m dan panjang. Contoh soal fisika kelas 10 soal fisika kelas 10 semester 2 soal fisika kelas 10 semester 2 dan pembahasannya latihan soal fisika kela...
Soal Dan Pembahasan Fisika Bidang Miring . Hitunglah gaya yang diperlukan untuk mendorong beban pada sistem di atas! Jika massa balok 18 kg dan percepatan 3. Ilmu Pengetahuan 2 Contoh Soal Fisika Bidang Miring Kasar from 0.academia-photos.com Kali ini kami membahas 3 soal #fisika #un #smp yang terkait bidang miring sebagai latihan atau drilling, sambil kita mengingat. Lebih dahulu tentukan posisi awal (o) dan posisi akhir (a) anak kemudian gunakan aturan phytagoras 11. Ketika benda bermassa m diletakkan di atas bidang miring dan meluncur ke bawah sepanjang bidang miring tersebut, maka gaya yang melakukan usaha untuk memindahkan benda. Besaran yang dapat menyebabkan benda bergerak secara rotasi adalah… a. Pada gerak peluru, kecepatan pada sumbu x (horisontal) selalu tetap, karena maka bayangan akhir terletak pada jarak.: Sebuah balok dilepaskan dari bidang miring licin sempurna dengan ...
Comments
Post a Comment